Video Tutorial Producing Aromatic Amines
Quick Notes Producing Aromatic Amines
- Aromatic amines are formed by the reduction of a nitroamine.

- A tin catalyst and concentrated hydrochloric acid are used under reflux conditions (reflux conditions are essential to stop gaseous vapors of hydrochloric acid being released).
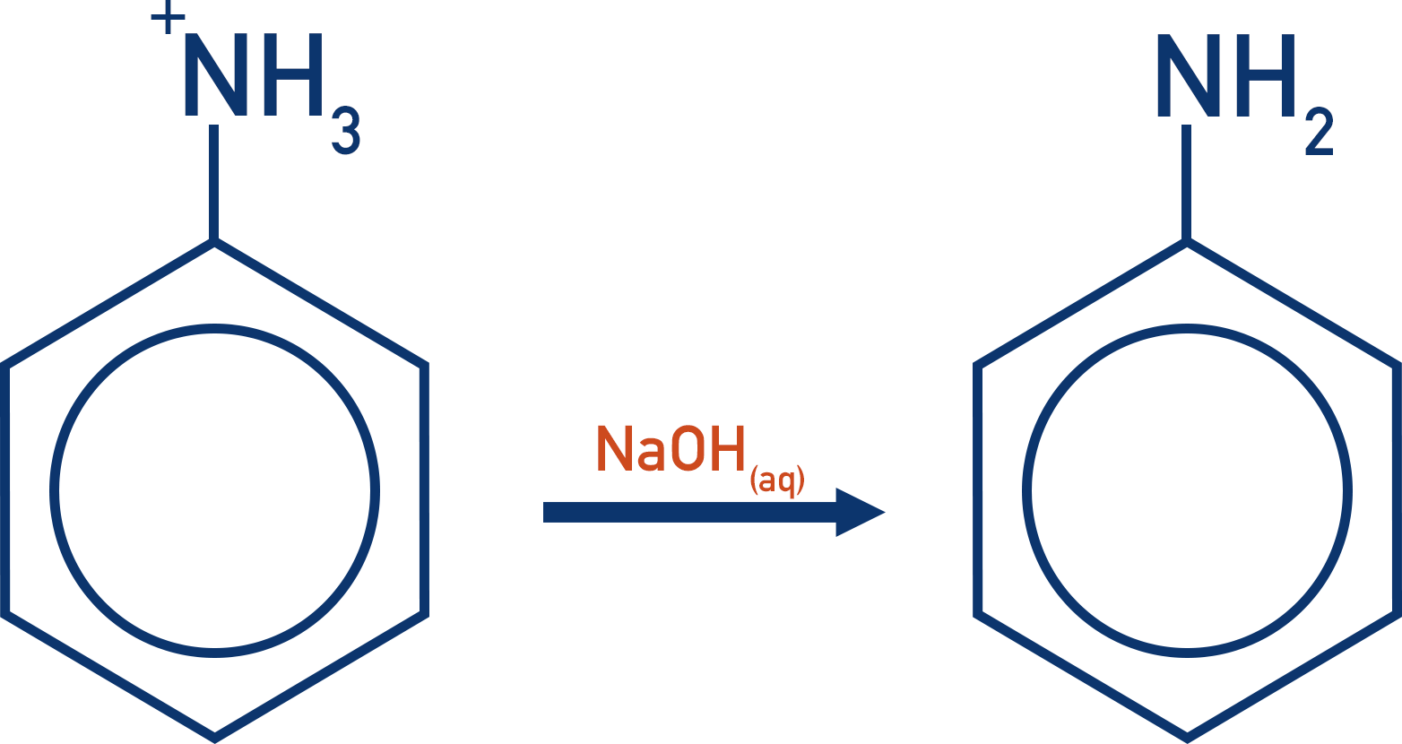
- Acidic conditions result in an ammonium ion being formed, which is converted into an amine group by adding sodium hydroxide.
Full Notes Producing Aromatic Amines
Aromatic amines can be produced by reducing the nitro group on a nitroarene (molecule containing a benzene ring with an NO2 group attached).
The nitro group is relatively easy to reduce. There are several possible reagents and catalysts that can be used – check with your exam board as to which is required for your specification.
Usually, tin and concentrated hydrochloric acid are used. Heat is required to start the reaction, and reflux conditions are essential because a concentrated acid is being used. Heating concentrated hydrochloric acid causes vapours of hydrochloric acid to be released; by heating under reflux conditions, the acid vapours are not allowed to leave the reaction apparatus and are contained by condensing back into liquid.
As the reduction is carried out in acidic conditions in this case, the amine group formed acts as a base and accepts protons from the acid, forming an ammonium salt. By adding sodium hydroxide to the product, the ‘extra’ proton in the ammonium salt is removed and the neutral aromatic amine is left.