Quick Notes Carbonyls - Formation and Reduction
- A carbonyl group is a carbon atom double bonded to an oxygen atom (C=O).
- Aldehydes have a carbonyl group at the end of a carbon chain; ketones have a carbonyl group in the middle of a carbon chain.

- Aldehydes can be formed from the oxidation of primary alcohols; ketones can be formed from the oxidation of secondary alcohols.
- The partially positively charged carbon atom in an aldehyde and a ketone react with nucleophiles in addition reactions.
- Aldehydes can be reduced with hydride ions (H-) to primary alcohols.
- Ketones can be reduced with hydride ions to secondary alcohols.
- A common source of hydride ions for reduction is the compound lithium tetrahydridoaluminate (LiAlH4)
Full Notes Carbonyls - Formation and Reduction
A carbonyl group is a carbon atom double bonded to an oxygen atom.
There are two possible ways to have a C=O bond in a hydrocarbon chain: at the end of the chain (this is an aldehyde) or in the middle of the chain (this is a ketone).
A C=O bond is polar because the oxygen atom is highly electronegative, pulling electron density in the covalent bond towards itself.
As a result, the carbon atom gains a partial positive charge and the oxygen atom gains a partial negative charge.
A carbon atom with a partial positive charge is vulnerable to nucleophilic attack, making carbonyl compounds likely to undergo nucleophilic addition (and addition-elimination) reactions.
Forming Aldehydes and Ketones
The easiest way to form aldehydes and ketones is through the oxidation of alcohols. A primary alcohol can be oxidised to an aldehyde; a secondary alcohol can be oxidised to a ketone. For more information, see Alcohols Oxidation.
Reducing Aldehydes and Ketones
The opposite of oxidation is reduction. Remember in organic chemistry: oxidation means increasing the number of oxygen bonds to a carbon atom and/or decreasing the number of hydrogen bonds to the carbon atom. Reduction means decreasing the number of oxygen bonds to a carbon atom and/or increasing the number of hydrogen bonds to the carbon atom.
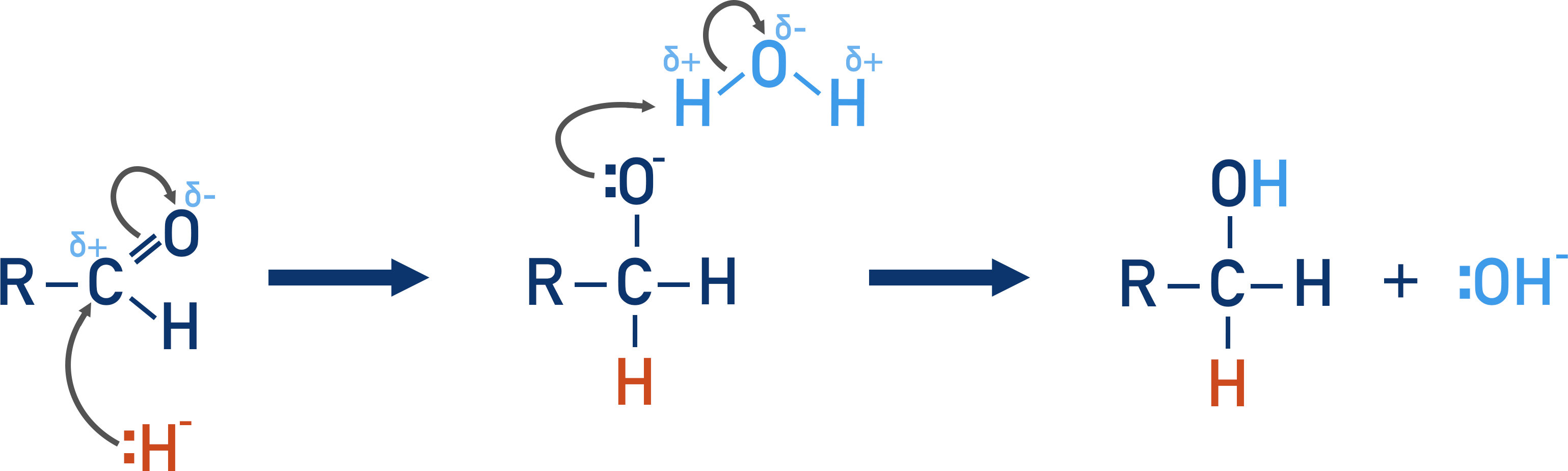
Carbonyls can be reduced using hydride ions.
The carbon atom in a carbonyl has a partial positive charge, so anything wanting to form a bond with it needs a negative charge or lone pair of electrons (nucleophile). To add a hydrogen atom to this carbon, the hydrogen must be a negatively charged hydride ion.
The hydride ions are attracted to the electron deficient carbon atom in the carbonyl, causing the C=O bond to break (reduction).
The negatively charged oxygen can now pick up a proton (H+) from a water molecule.
There are different sources of hydride ions, but the most common source at A-level is from lithium tetrahydridoaluminate (LiAlH4).
The mechanism for this process and the steps involved are beyond most requirements for A-level knowledge. What you need to understand is that the LiAlH4 provides a H- ion that acts as a nucleophile and binds to the carbon in the carbonyl group.
When writing out the reaction, [H] represents a source of hydrogen from a reducing agent (in this case, LiAlH4).
If an aldehyde is reduced it forms a primary alcohol (see above example).
If a ketone is reduced it forms a secondary alcohol.